

Описание OCL-4T-011 - Моторный дроссель Frecon, 11 кВт, 25 А, 380 В
Моторные и сетевые дроссели Frecon — надежная защита и стабильная работа вашего оборудования
Дроссели Frecon обеспечивают эффективную защиту инверторов, электродвигателей и промышленных сетей от перегрузок, перенапряжений и электромагнитных помех. Компания Frecon предлагает входные (сетевые) и выходные (моторные) дроссели, которые гарантируют стабильную работу частотных преобразователей и продлевают срок службы электроприводов даже в самых требовательных условиях эксплуатации.
Основные функции дросселей Frecon:
-
Сетевые дроссели (входные) устанавливаются перед инвертором, уменьшают гармонические искажения, ограничивают входные токовые импульсы и повышают коэффициент мощности.
-
Моторные дроссели (выходные) защищают двигатель от перенапряжений при длинных кабельных линиях (свыше 50 м), снижают токи утечки и предотвращают повреждение изоляции.
-
Дроссели постоянного тока (при необходимости) улучшают коэффициент мощности и уменьшают выбросы напряжения в выпрямительных схемах.
Преимущества использования:
-
Защита инверторов от высоковольтных импульсов.
-
Снижение пусковых нагрузок.
-
Стабилизация питающего напряжения.
-
Увеличение срока службы электродвигателей.
-
Снижение электромагнитных помех (EMI).
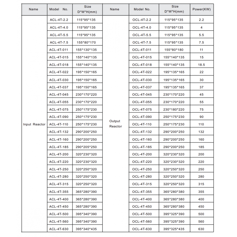
Технические характеристики (примеры подбора):
Мощность инвертора | Входной дроссель | Выходной дроссель |
---|---|---|
4.0 кВт | ACL-4T-4.0 | OCL-4T-4.0 |
11 кВт | ACL-4T-011 | OCL-4T-011 |
30 кВт | ACL-4T-030 | OCL-4T-030 |
75 кВт | ACL-4T-075 | OCL-4T-075 |
132 кВт | Встроенный | OCL-4T-132 |
160 кВт | Встроенный | OCL-4T-160 |
⚙ Примечание: Дроссели могут быть внешними или встроенными в частотный преобразователь в зависимости от мощности. Падение напряжения во входном дросселе составляет 2%±15%, в выходном — 1%±15%.
Области применения:
-
Промышленные системы автоматизации
-
Конвейерные линии
-
Вентиляционные и насосные установки
-
Компрессоры и подъёмное оборудование
Frecon — это надёжное решение для стабильной и безопасной работы частотных преобразователей и электродвигателей в промышленных условиях. Подбор дросселя в соответствии с мощностью инвертора обеспечивает максимальную эффективность и защиту оборудования.
Нужна помощь с подбором дросселей для инвертора Frecon? Обратитесь к нашим специалистам — мы предоставим техническую консультацию и подберём оптимальное решение под ваши задачи.
Основные характеристики OCL-4T-011 - Моторный дроссель Frecon, 11 кВт, 25 А, 380 В
Отзывы о OCL-4T-011 - Моторный дроссель Frecon, 11 кВт, 25 А, 380 В
Нет отзывов о данном товаре.
Вопросы и ответы (FAQ) OCL-4T-011 - Моторный дроссель Frecon, 11 кВт, 25 А, 380 В
